The influence of coordination in silicate melts on trace-element partitioning in magmatic systems
Variation of partition coefficients between titanite and silicate melts varying in ASI (ASI=molar Al2O3/Na2O+K2O+CaO) modified after Prowatke & Klemme (2005) Geochim. Cosmochim. Acta, 69, 695-709.
(GFZ)
EXAFS at Y K-edge taken on glasses with compositions according to melts in equilibrium with titanite from Prowatke & Klemme (2005). Markers indicate measured data, lines the fit. Taken from Simon et al. (2013) Chem. Geol., 346, 3-13.
(GFZ)
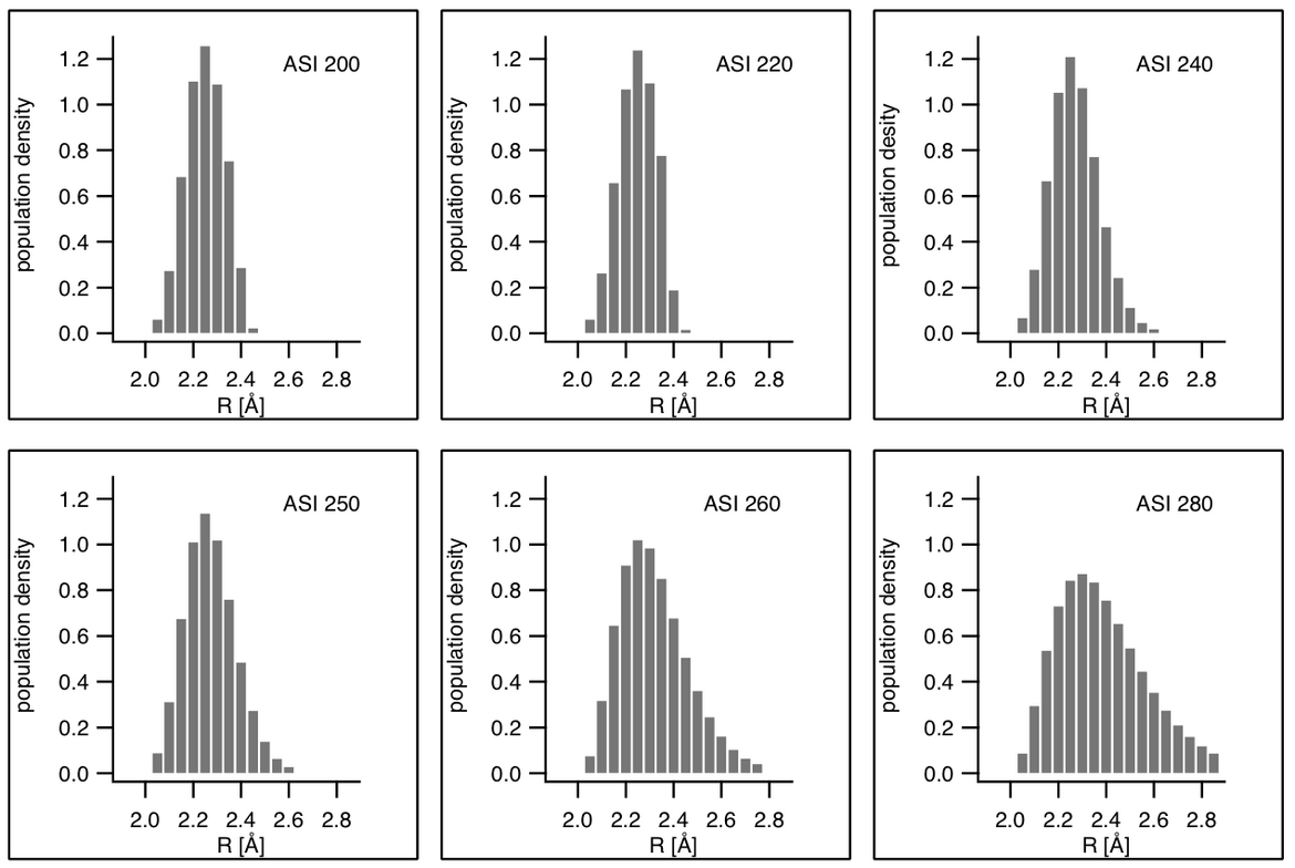
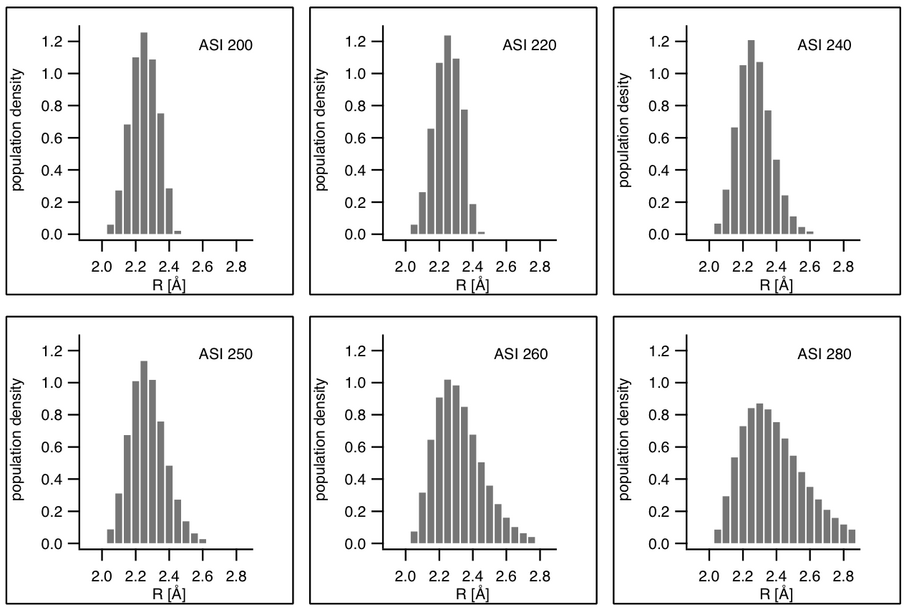
Y-O pair distribution determined from analysis of the EXAFS at the Y K-edge. Taken from Simon et al. (2013) Chem. Geol., 346, 3-13.
(GFZ)